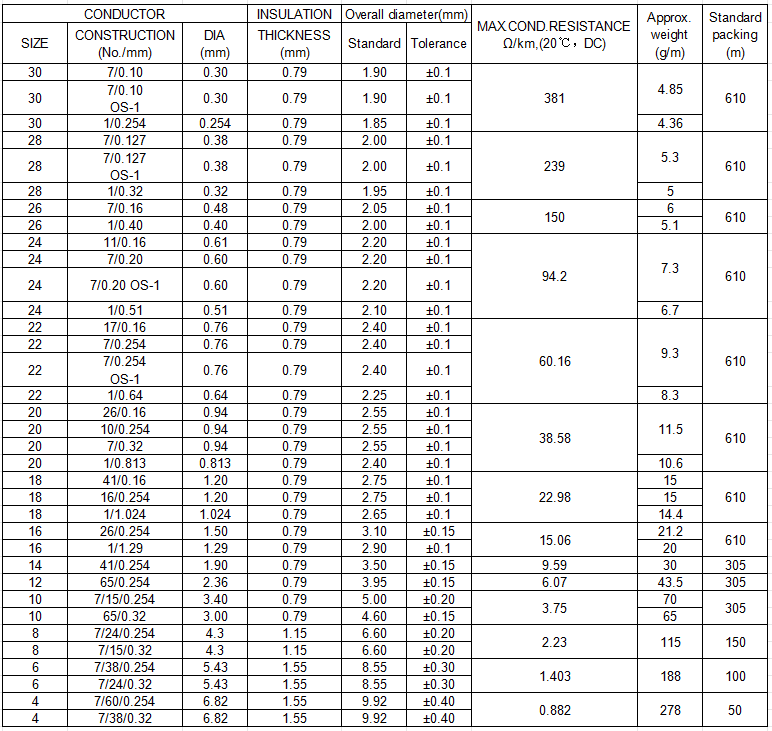
■PRODUCT DESCRIPTION
●Rated temperature:80 OR 90℃
●Rated voltage:600V
●Reference standard:UL758,UL1581,CSA C22.2No.210.2
●Solid or stranded ,tinned or bare copper conductor 30~2000 kcmil
●PVC insulation ,comply with ROHS environmental standard
●Passes UL VW-1,CSA FT1 flame test
●Uniform insulation thickness to ensure easy stripping and cutting
●For general purpose internal wiring of appliance
■CABLE CONSTRUCTION
